අධිකරණ නියෝග කඩකරමින් ශ්රී ලංකා හොකී සම්මේලනය ඊයේ (27) දිනත් කටයුතු කර ඇති බව වාර්තා වෙයි.
ඒ හොකී සම්මේලනයට අනුබද්ධ කමිටු පත්කිරීමේදී ක්රීඩා නීතිය සහ සංගම් ව්යවස්ථාව අමුඅමුවේ උල්ලංඝනය කරමින්ය.
මේ සම්බන්ධව දැනටමත් වෙළෙඳ සේවා හොකී සංගමය , කොළඹ හොකී සංගමය සහ මාතලේ හොකී සංගමය විසින් විරෝධතා ඉදිරිපත් කර තිබේ.
ලංකාවේ හොකී ක්රිඩාව ඉහගෙන කන වලක් බවට පත්කර ගෙන තිබෙන සුමිත් එදිරිසිංහ ඇතුළු ගෝලයින් රොත්ත කාලාන්තරයක් තිස්සේ ක්රීඩාව වනසමින්, එය දූෂිත තිප්පොලක් බවට පත්කරගෙන ඇති අතර එහි තවත් පියවරක් මෙලෙස තබා ඇති බව හොකී ක්රීඩාවට ලැදි පාර්ශවයන්ගේ අදහස වී තිබේ.
ඒ අනුව ක්රීඩා පනත මෙන්ම සංගම් ව්යවස්ථාව උල්ලංඝනය කරමින් තම හෙංචයියන්ට සංග්රහ කර ඇති බවත් ඒ හමුවේ ශ්රී ලංකා හොකී ක්රීඩාව තවදුරටත් දරුණු පසුබෑමකට ලක්වීම වැලැක්වීමට නොහැකි බවත් ඔවුන්ගේ අදහස වී තිබේ.
එසේම අධිකරණ තීන්දු පවා නොතකමින් හොකී ක්රීඩාව තුළ මාෆියා පාලනයක් ගෙන සිටින සුමිත් එදිරිසිංහ පාර්ශවය දැන් හොකී ක්රීඩාව කා දමා අවසන් බවත් මේ ගෙවෙන්නේ වමාරා කන අවස්ථාව බවත් ඔවුන් වැඩිදුරටත් සදහන් කරයි.
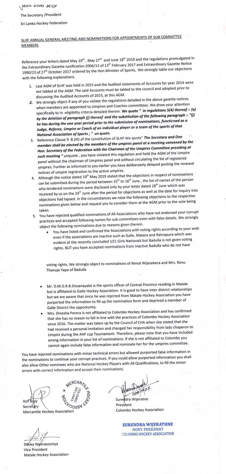
ලංකාවේ හොකී ක්රිඩාව ඉහගෙන කන වලක් බවට පත්කර ගෙන තිබෙන සුමිත් එදිරිසිංහ ඇතුළු ගෝලයින් රොත්ත අනු කමිටු පත්කිරීමේදී සිදුකර ඇති ව්යවස්ථා උල්ලංඝනය සම්බන්ධව විරෝධතා පහත දැක්වෙයි.

newstube.lk වෙබ් අඩවියේ පළවන සියළු ප්රවෘත්ති සහ විශේෂාංග ආශ්රිතව කිසිවකුට හානිකර යමක් පළ වී ඇත්නම් ඒ අගතියට පත් පාර්ශවයට ඊට ප්රතිචාර දැක්වීමට ඇති අයිතියට අපි ගරු කරමු.
ඔබගේ ප්රතිචාර
