ඇමරිකානු හමුදාවට ශ්රී ලංකා භුමිය නිදහසේ භුක්ති විදින්න දීම සදහා වත්මන් ආණ්ඩුව කටයුතු කර ඇති බවට විපක්ෂයේ පිරිස් එල්ලකල චෝදනා මුලුමනින්ම සාවද්ය බව අනාවරණය වී ඇත.
ඒ ද්විත්ව පුරවැසි, ආරක්ෂක අමාත්යාංශයේ ලේකම් ගෝඨාභය රාජපක්ෂ සහ රොබට් ඕ බ්ලේක් අතර 2007 වසරේ මෙකී ගිවිසුම අත්සන් තබා ඇති බවට සාක්ෂි සහිතව අනාවරණය වී ඇති නිසාය.
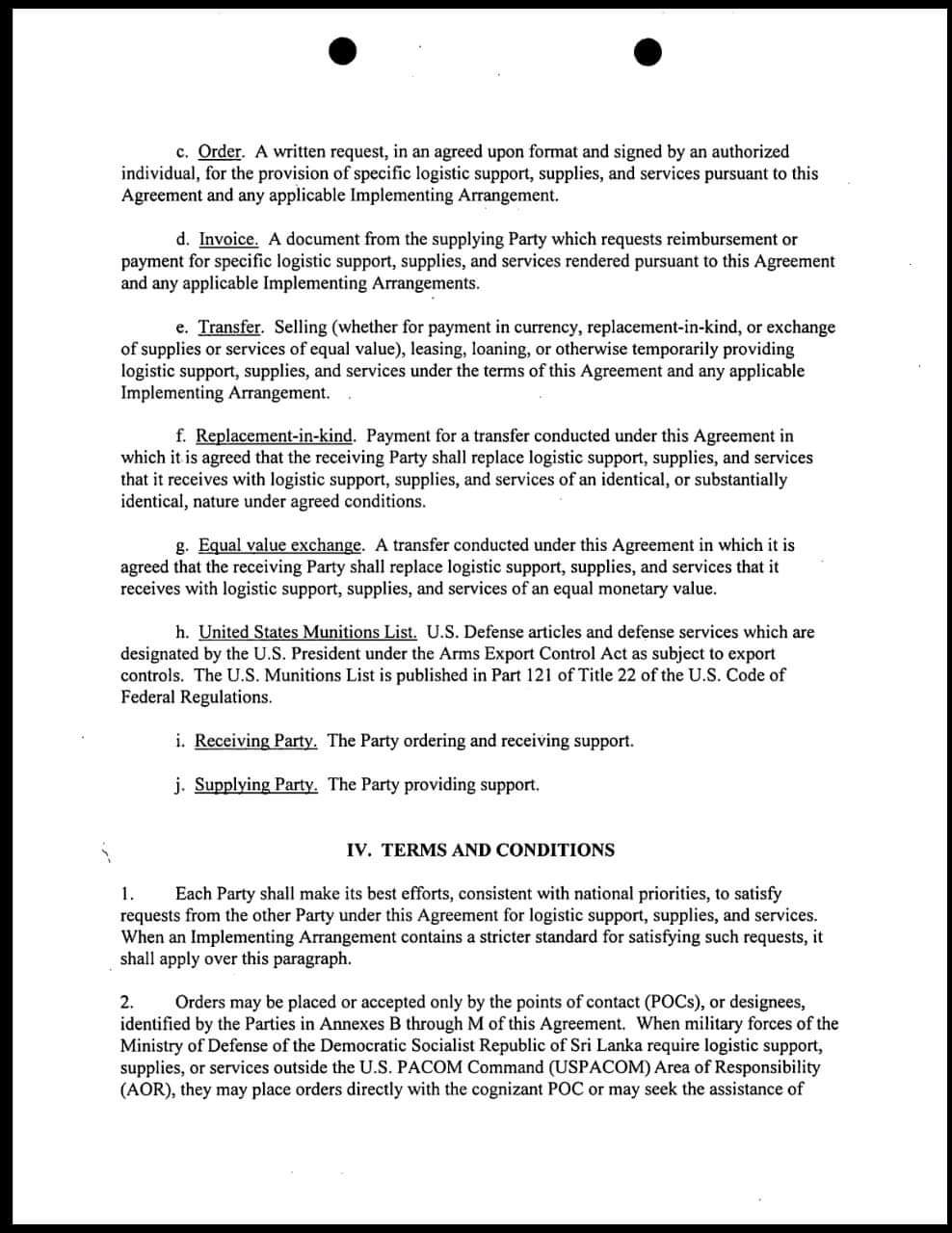
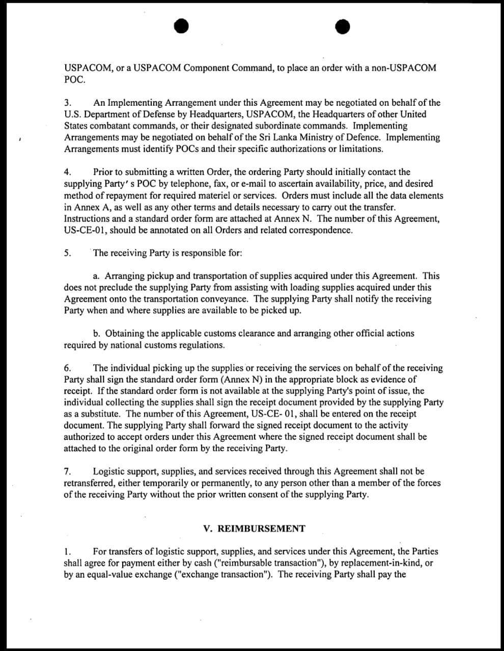
ඇමරිකානු ආරක්ෂක දෙපාර්තමේන්තුව සහ ශ්රී ලංකාවේ ආරක්ෂක අමාත්යාංශ විසින් 2007 මාර්තු 05 වෙනිදා අත්සන් කරන ලද එම ගිවිසුම “අත්පත් කර ගැනීම සහ අන්තර් සේවා පිලිබඳ ගිවිසුම” (Acquisition and Cross-Servicing Agreement) ලෙස හැදින්වෙන අතර ඇමරිකානු හමුදාවන්ට ශ්රී ලංකාවේ සියළු වරාය සහ ගුවන් තොටුපල භාවිතා කිරීමට ඉඩ සලසමින් ඇත්තේ එහිය.
ගෝඨාභය රාජපක්ෂ නම් දේශප්රේමය උතුරා යන , ජාතික ආරක්ෂාව සම්බන්ධව නිතර පාරම්බාන ඇත්තාගේ සැබෑව මේ ගිවිසුම හරහා හොදින්ම හෙලිදරව් වෙයි.
මේ ගිවිසුමේ නමට Acquisition යන වචනය අන්තර්ගත කිරීම පවා ගැටලුවක් බව විචාරකයන් පෙන්වා දෙයි . ඒ එහි අර්ථය 'අත්කර ගැනීම’ ලෙස පරිවර්තනය වන නිසාය.
අදාල ගිවිසුම පහත දැක්වෙයි. ඒ හරහා ඔබට ගෝඨාභය රාජපක්ෂ ගේ දේශප්රේමය දෝරේ ගලාගොස් ඇති ආකාරය තේරුම් ගත හැකිවනු ඇත.
මෙම ගිවිසුම වසර 10 කදී එනම් 2017 දී අවලංගු විය යුතුව තිබිණ. යහපාලන ආණ්ඩුවේ විදේශ අමාත්යාංශය විසින් 2017 අගෝස්තු 04 වෙනිදා එය තවත් වසර 10 කට අලුත් කරන ලදී.









